Contoh Aktiviti Sosial Dan Ekonomi Paya Terobong

Oleh sebab itu contoh kegiatan ekonomi seperti makan minum dan mengenakan pakaian tadi juga termasuk kebutuhan pokok atau kebutuhan dasar yang. Jasa termasuk kegiatan dengan memberikan layanan kepada masyarakat dalam hal apapun.


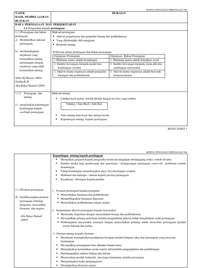
Pp Sem1 3 Modul Gabungan Pdf Pdf

Adapun contoh yang termasuk kasus dalam politik ekonomi ini misalnya penentuan harga eceran tertinggi dan.

. Pengertian sosial adalah hal-hal yang berkenaan dengan masyarakat ataupun sifat-sifat kemasyarakatan yang memperhatikan kepentingan umum. Penerimapakaian SOP ini juga bersempena dengan pengumuman bahawa sebahagian industri dan aktiviti perniagaan di Sarawak dibenarkan beroperasi mulai 12 Mei 2020. Contoh kegiatan ekonomi sukarela adalah.

Kegiatan produksi adalah kegiatan menambah faedahkegunaan suatu benda atau menciptakan benda baru sehingga lebih bermanfaat dalam memenuhi kebutuhan. Misalnya saja dengan menyediakan lapangan kerja. Aspek sosial dan ekonomi merupakan salah satu.

Oleh DosenSosiologiCom Diposting pada 27 Februari 2022. Contoh yang ketiga dari jenis macam kegiatan ekonomi kali ini yaitu kegiatan di bidang perindustrian. Artikel July 6 2020.

Ada banyak hal yang bisa dilakukan seseorang maupun kelompok agar bisa memajukan sebuah lingkungan dan membantu orang-orang dalam lingkungan sosial tersebut. BPeran pemerintah sangat kuat. Pada ekstrem yang lain para teoritisi.

Contoh Kegiatan Sosial di Masyarakat. Memperbanyak Sumber Lapangan Kerja. Menghasilkan bentuk barang dan jasa yang baru.

Iklim dan juga kondisi geografis yang strategis membuat Indonesia punya banyak aktivitas ekonomi mulai dari pertanian kehutanan peternakan perikanan pertambangan industri hingga perdagangan. Granovetter 1985 menaruh perhatian pada analisis keterlekatan sosial embeddedness dalam perilaku ekonomiPemikir ekonomi klasik dan neo-klasik mengasumsikan bahwa rasionalitas adalah faktor determinan dalam mempengaruhi tindakan ekonomi dimana self-interest sangat kecil dipengaruhi oleh relasi sosial. - Pemerintah bertindak aktif mulai dari perencanaan pelaksanaan.

Walaupun dirasa sangat sulit untuk melakukan pembangunan yang merata tapi harus dilakukan. Sebagai langkah persediaan dan juga demi melindungi rakyat Sarawak Kerajaan Negeri telah menyediakan Garis Panduan SOP yang disesuaikan untuk keadaan di Sarawak. Inilah Perbedaan serta Contoh Hukum.

Kegiatan Ekonomi dibidang Jasa. Sebutkan contoh contoh kegiatan yang menggabungkan aspek sosial dan ekonomi untuk meningkatkan kesejahteraan masyarakat. Mungkin jika kita berbicara tentang ekonomi sudah banyak teman-teman yang tahu apa arti dari kata tersebut.

Aktivitas berbelanja dari belanja di pasar tradisional beralih ke pasar-pasar modern pasar online karena pesatnya pertumbuhan pusat-pusat perbelanjaan dan teknologi modern. Yang mana penggunaan busana batik sudah dianggap sebagai kebutuhan yan. Menyalurkan barang dan jasa sehingga bisa dengan mudah dikonsumsi konsumen.

Banyak sekali contoh jasa di indonesia seperti jasa transportasi jasa penyebrangan dengan kapal laut ataupun jasa penerbangan. Berikut beberapa contoh motif ekonomi untuk berbuat sosial yaitu. - Tidak ada pengakuan atas hak-hak pribadi individu dalam sistem sosialis.

Macam-Macam Kegiatan Ekonomi Foto Oleh Jagadedukasi blogspot com. Secara umum terdapat tiga jenis kegiatan ekonomi masyarakat yaitu. Other Apps - May 30 2022.

Sekarang yuk simak contoh interaksi bidang ekonomi lebih lengkapnya di bawah ini. Contoh Aktivitas Ekonomi. Sosial Ekonomi Sosial Ekonomi berfokus pada hubungan antara perilaku sosial dan ekonomi.

Menghabiskan nilai barang yang terkandung di dalam barang dan jasa. Kegiatan konsumsi dapat dilakukan baik secara bertahap maupun secara sekaligus. 10 Contoh Politik Ekonomi dalam Kehidupan Sehari-hari.

Sedangkan Kegiatan sosial adalah suatu kegiatan yang dilakukan oleh seseorang atau kelompok untuk menyalurkan kepeduliannya. Istilah politik ekonomi bisanya terwujud dalam berbagai kebijakan dalam sistem sosial kepemerintahan dalam bidang perekonomian yang menghasilkan arti nilai material pada masyarakat. Ini menguji dan membahas bagaimana norma sosial etika sentimen populer yang muncul dan filosofi sosial lainnya mempengaruhi perilaku konsumen dan dengan demikian membentuk tren pembelian secara umum.

Contoh Aktiviti Sosial Dan Ekonomi Paya Terobong. Sosial Ekonomi adalah kedudukan atau posisi. Mengutip dari sumberbelajarkemdikbudgoid diakses pada 9821 kegiatan ekonomi diartikan sebagai segala bentuk usaha yang dilakukan manusia untuk memenuhi kebutuhan hidupnya sehari-hari.

Konsumsi merupakan kegiatan untuk menggunakan barang hasil produksi baik itu barang maupun jasa demi memenuhi kebutuhan hidup. Contoh produksi sektor publik adalah. 17 Contoh Pembangunan Ekonomi dan Sosial Budaya.

Sosiologi ekonomi dapat didefinisikan dengan dua cara. Contoh kegiatan ekonomi yang terkahir adalah dibidang Jasa. Aktivitas sosial adalah bagian daripada bentuk kegiatan sosial yang dilakukan secara bersamaan maupun pribadi dengan tidak mencari keuntungan dalam bidang perekonomian sebagau prilaku kepedulian yang ditunjukan kepada individu dan bentuk kelompok sosial tertentu terkait permasalahan yang dihadapi.

ALebih mengutamakan kebersamaan kolektivisme - Masyarakat dianggap sebagai satu-satunya kenyataan sosial sedang individu-individu fiksi belaka. Kegiatan ekonomi sukarela adalah sebuah kegiatan ekonomi yang dilakukan secara sukarela atau tanpa memungut biaya. Contoh Kertas Kerja Untuk Persatuan dan Kelab bagi Menjalankan aktiviti 2.

Sebagai makhluk sosial manusia sudah pasti melakukan interaksi. Membuat Neraca Saldo Toko Baju Kids Jaman Now. Selain itu terdapat bermacam-macam jenis interaksi yaitu interaksi bidang ekonomi interaksi bidang politik interaksi bidang sosial dan budaya serta interaksi bidang moral.

Nah konsumsi adalah jenis dan tahapan terakhir di dalam kegiatan ekonomi. 2 Kegiatan tutorial jam ke-2 menghasilkan ringkasan diskusi kelas. Iya ekonomi merupakan sebuah ilmu yang mempelajari seluruh aktivitas manusia yang berhubungan dengan produksi distribusi dan konsumsi.

Kegiatan distribusi memiliki tujuan yaitu. Aktivitas pembelajaran masyarakat terutama pelajar dan mahasiswa semakin maju dan berkembang dari mencari bahan di buku-buku cetak. Kegiatan ekonomi dilakukan untuk memenuhi kebutuhan para konsumen dan mendapatkan laba bagi.

Contoh Masalah Sosial di Tahun 2020 dan Solusinya. Menambahkan nilai guna yang dimiliki oleh barang dan jasa. Selain bidang perdagangan perindustrian ini juga menjadi kegiatan ekonomi yang cukup populer dan banyak digeluti oleh masyarakat Indonesia.

Ketika kita ingin memperbaiki keadaan suatu negara dapat dilakukan dengan cara melakukan pembangunan yang merata kepada arti masyarakat nya. Temukan beberapa aktivitas yang menurutmu menggabungkan aspek sosial dan ekonomi.


Had Aktiviti Ekonomi Di Sungai Terengganu


Kertas Soalan Contoh 946 1 Stpm Pengajian Perniagaan Jabatan


Modul Pp Gabungan 3 Penggal Membalik Buku Halaman 201 250 Anyflip


Lebih Banyak Sektor Ekonomi Dibuka Perdana Menteri

No comments for "Contoh Aktiviti Sosial Dan Ekonomi Paya Terobong"